心血管医学领域有一句俗语,叫“人与动脉同寿”。也就是说,通常人的生理年龄就是“血管年龄”。血管作为人体重要器官之一,微小堵塞便会危害生命,但其实血管流动中也蕴含着许多物理知识。搜狐创始人、董事局主席兼CEO张朝阳在《张朝阳的物理课》线下第十四课中解析为什么血管堵塞心脏负担大,探究血栓这一“健康杀手”。
在直播前半场,张朝阳详尽讲解了流体力学的基础知识,从静止理想流体到稳恒理想流体,再到粘滞流体,并从数学上严格证明了阿基米德浮力定律和伯努利原理。
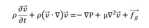
随后他重点介绍了流体力学的基本方程——纳维尔-斯托克斯方程(以下简称N-S方程),并以该方程在现实中的特殊应用——人的血管泊肃叶定律为例进行了运算推导。

在NS方程的基础上,张朝阳求解了圆管中不可压缩稳恒粘滞流体的速度场,并求出了此模型下的血流量与血管半径的关系。
首先假定血管是不含时间t的稳态情况,即,那么方程第一项没了,忽略重力影响,即不考虑。进一步简化,假定血管是规则形状,因为不论毛细血管还是动脉都不会一会粗一会细,这样血管中血液就转化为规则形状的稳定流管问题。根据能量守恒,血流方向沿着纵向方向,并假定这个方向为z方向

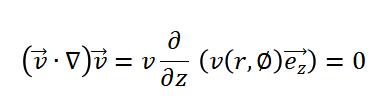
由于只有z方向,而

这样只剩下一个方向,即

这样可以证明这项为0,
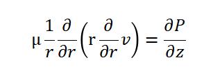
此时的NS方程简化为,

表示血压的梯度,表示血液的粘滞力,血管里面的血液每泵一次产生压力,与血液这种有粘滞力的非理性流体达到互相抗衡的结果。
在柱坐标系下

由于旋转对称性,不需要考虑项,并且项对求导为0,对于r方向

这样可以得出为常数,表明血管压强逐渐减小,

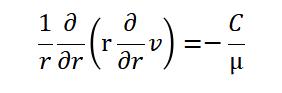
对于z方向

简化为

求导可得

猜出方程的解为

代入可得

解得

对于的求解,我们使用边界条件血管边缘处,

即

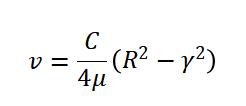
这样得到血管的速度

进而得到了血管中速度分布公示

这就是使用纳维尔-斯托克斯公式在一个规则流管不含时有粘滞力的速度分布案例,算出血管流速和半径的关系,并且在医学上应用很广。
那么对于流量Q

可以得出

由公式计算得出血流量和半径四次方成正比,与压强梯度正比,并且血越稠血流量越低,和半径更敏感。假如血管堵了10%,损失血量为30%到40%,这时心脏需要更大工作量,也会给心脏特别大的压力。
血管遍布人们全身,帮助维持血液以及营养成分正常的功能运转。心脏负责给全身供血,血管堵塞,血液流通慢,将影响正常的血液循环,也给心脏造成巨大的负担。据资料数据显示,全球每16秒就有一人患静脉血栓栓塞性疾病,每37秒就有一人死于该病。因此,在推导完公式后,张朝阳也贴心地建议大家日常多吃青菜水果,少吃胆固醇高的食品,以保持血管通畅,守护自己的心血管健康。
据了解,《张朝阳的物理课》于每周周五、周日中午12时在搜狐视频直播,网友可以在搜狐视频“关注流”中搜索“张朝阳”,观看直播及往期完整视频回放;关注“张朝阳的物理课”账号,查看课程中的“知识点”短视频。此外,还可以在搜狐新闻APP的“搜狐科技”账号上,阅览每期物理课程的详细文章。